Quantum parallelism is a fundamental property of quantum computing that leverages superposition to process multiple computations simultaneously. It allows quantum systems to evaluate a function 𝑓(𝑥) for many inputs 𝑥 at the same time, fundamentally altering how computation is performed compared to classical systems.
A qubit, unlike a classical bit, can exist in a combination of the ∣0⟩ and ∣1⟩ states
∣ψ⟩=α∣0⟩+β∣1⟩
Here, 𝛼 and 𝛽 are complex amplitudes such that ∣𝛼∣2+∣𝛽∣2=1. This superposition allows a quantum computer to represent all 2𝑛 possible inputs 𝑥 at once.Quantum gates, such as the Hadamard gate 𝐻, create superpositions and operate on all states simultaneously. For example, applying 𝐻 to ∣0⟩ creates a superposition
H∣0⟩= √ ½(∣0⟩+∣1⟩)
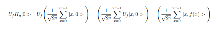
The Walsh-Hadamard transformation can be used to produce this superposition of all possible inputs,

U f∣x,y⟩=∣x,y⊕f(x)⟩
Here, 𝑦 is the output register. Since ∣𝑥⟩ is in superposition, the oracle evaluates 𝑓(𝑥) for all 𝑥 simultaneously.


A single circuit does all 2m computations simultaneously.